今回は中2で習う連立方程式について解説します。
連立方程式はつまづいてしまう人が多い単元です。
この記事を読んで、しっかり理解しておきましょう。
このページに連立方程式の重要事項をまとめていますので、テスト前などにもぜひご活用ください。
目次
連立方程式とその解
$3x+2y=8$のように2つの文字を含む1次方程式を「2元1次方程式」といいます。
2元1次方程式を成り立たせる文字の組を、2元1次方程式の「解」といいます。
2元1次方程式の解はいくつもあります。

のように、2つ以上の方程式を組み合わせたものを「連立方程式」といいます。
組み合わせた文字の値の組を連立方程式の「解」といい、解を求めることを「連立方程式を解く」といいます。
連立方程式の解の書き方は3種類あります。よくわかっていない人は読んでおきましょう。
連立方程式の解き方
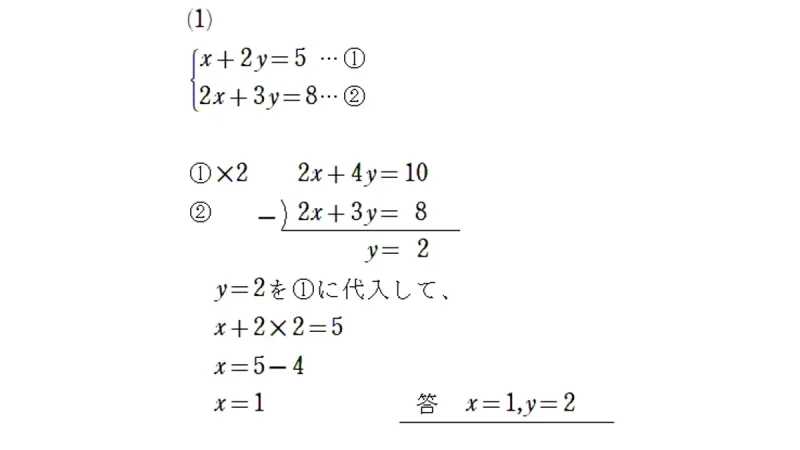
加減法
連立方程式に含まれる文字の係数の絶対値をそろえ、左辺どうし、右辺どうしを足したり引いたりして、文字を消去して解く方法を「加減法」といいます。
例)


詳しい解説はこちら!
代入法
連立方程式の一方の式を他方の式に代入することにより、文字を消去して解く方法を「代入法」といいます。
例)


詳しい解説はこちら!
いろいろな連立方程式
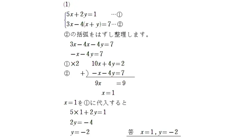
括弧を含む連立方程式
括弧をふくむ式は括弧をはずしてから、式を整理して解きます。
例)

分数・小数を含む連立方程式
係数に分数や少数を含む連立方程式は、係数がすべて整数になるように変形してから解きます。

詳しい解説はこちら!

詳しい解説はこちら!
A=B=Cの形の連立方程式
A=B=Cの形の連立方程式は
のいずれかの組合せで連立方程式を解きます。
例)

詳しい解説はこちら!
\ おすすめの参考書! /
連立方程式の利用
連立方程式を利用して文章問題を解く手順は下記の通りです。
- 何を文字で表すかを決めます。
- 数量の間に成立する関係を見つけて方程式を作ります。
- 作った方程式を解きます。
- 方程式の解が問題に適しているかを確認します。
例)


詳しい解説はこちら!
そのほかの連立方程式の利用


コメント