商の導関数についての解説をします。まずは商の微分公式の使い方と例を紹介して、そのあとに下記に示す商の導関数を証明します。
関数の商の導関数(微分)$$\left(\frac{f(x)}{g(x)}\right)’=\frac{f'(x)g(x)-f(x)g'(x)}{g(x)^2}$$
商の導関数
商の導関数とは、分数の関数を微分するための公式です。
関数の商の導関数(微分)$$\left(\frac{f(x)}{g(x)}\right)’=\frac{f'(x)g(x)-f(x)g'(x)}{g(x)^2}$$
商の導関数を使いこなすのはたった4ステップです!
- 分母を2乗して分母へ
- 分子を微分して分母と掛ける
- 分母を微分して分子と掛ける
- 2から3を引いて分子へ

ここではタンジェントの微分を例にして解説していきます!
\(\tan x\)の微分の式
$$(\tan x)’=\left(\frac{\sin x}{\cos x}\right)’=\frac{1}{\cos^2 x}$$
分母を2乗して分母へ(ステップ1)
分母の\(\cos x\)を\(\cos^2 x\)にして分母にします。つまり、ステップ1の段階ではこうなります。
$$(\tan x)’=\left(\frac{\sin x}{\cos x}\right)’=\frac{(???)}{\cos^2 x}$$
分子を微分して分母と掛ける(ステップ2)
分子を微分、つまり\(\sin x\)を微分して分母の\(\cos x\)と掛けます。
$$(\sin x)’=\cos x$$
なので、\(\cos^2 x\)となります。
分母を微分して分子と掛ける(ステップ3)
ここでは、分母を微分するので\(\cos x\)を微分して\(\sin x\)に掛けます。
$$(\cos x)’=-\sin x$$
なので\(-\sin^2 x\)となります。
2から3を引いて分子へ(ステップ4)
2で作った\(\cos^2 x\)から\(-\sin^2 x\)を引きます。つまり、
$$\cos^2 x-(-\sin^2 x)=\cos^2 x+\sin^2 x=1$$
です。これを分子に持っていけば微分完了です!

1で作った\((\tan x)’=\frac{(???)}{\cos^2 x}\)の???に4で作った答えを入れると・・・
$$(\tan x)’=\frac{(???)}{\cos^2 x}=\frac{1}{\cos^2 x}$$
となります。
商の導関数の証明
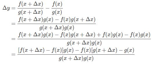
$$y=\frac{f(x)}{g(x)}$$
と置いて、\(xが\Delta x\)変化したとすると、\(y\)の変化量\(\Delta y\)は、
$$\Delta y=\frac{f(x+\Delta x)}{g(x+\Delta x)}-\frac{f(x)}{g(x)}$$
となります。

ここで\(\Delta x\rightarrow0\)のとき、\(g(x+\Delta x)=g(x)\)となります。なので、分母は\(g(x)^2 \)です。
そして、
\begin{eqnarray}f'(x) = \lim_{ \Delta x \to 0 } \frac{ f(x + \Delta x) – f(x) }{ \Delta x }\end{eqnarray}
\begin{eqnarray}g'(x) = \frac{ dg }{ dx } = \lim_{ \Delta x \to 0 } \frac{ g(x + \Delta x) – g(x) }{ \Delta x }\end{eqnarray}
なので、上の式を整理すると
関数の商の導関数(微分)$$\left(\frac{f(x)}{g(x)}\right)’=\frac{f'(x)g(x)-f(x)g'(x)}{g(x)^2}$$
となるわけです!
商の導関数|まとめ
ポイントをまとめましょう!
POINT関数の商の導関数を使うのは4ステップ!
証明は微分の定義を知ってれば簡単!


コメント