数学1で習う「数と式」についてまとめました。
この記事だけで、数と式の内容がわかり問題で練習もできます。
多項式、単項式、次数、係数、項、同類項、定数項など、用語の意味と使い方がバッチリ理解できますよ。
単項式とは
単項式とは、項が1つだけで成り立っている式のことです。
単項式は次数と係数が重要になってきます。練習問題を解いてみましょう。
単項式の次数と係数の練習問題
単項式の次数と係数を求める3択問題です。
わからない時は下記の記事が解くための参考になります。
問1
単項式 $-2x^5$ の次数と係数は?
A: 次数: 5、係数: -2
B: 次数: -5、係数: 2
C: 次数: 5、係数: 2
問2
単項式 $3x^2$ の次数と係数は?
A: 次数: 3、係数: 2
B: 次数: 2、係数: 3
C: 次数: 2、係数: -3
問3
単項式$4x$の次数と係数は?
A: 次数: 4、係数: x
B: 次数: x、係数: 4
C: 次数: 1、係数: 4
答え
問1:A
問2:B
問3:C
多項式とは
多項式とは、単項式の和で表される式のことです。単項式との違いは、項が1つか2つ以上あるかです。
また、多項式は同類項をまとめることで、式を簡単にする計算が必要になってきます。
例えば、$4x^2+5x-2x+3$の式であれば、$x$の項が2つあるので計算してあげましょう。
この計算を同類項をまとめると言って、計算結果は$4x^2+3x+3$になります。
ここで、文字のない項である「3」のことを定数項と呼びます。
多項式の足し算と引き算
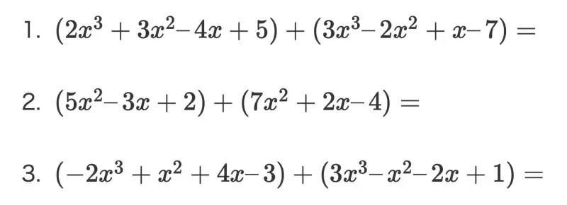
多項式の足し算と引き算の問題を解いてみましょう。
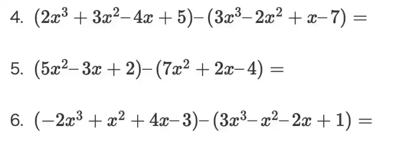
問題を解くためには、同類項の係数を加算または減算して、同類項をまとめます。
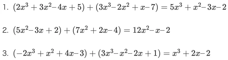
たとえば、問題 1 では、「$2x^3$」と「$3x^3$」を足し合わせると「$5x^3$」になり、「$-4x$」と「$x$」を組み合わせると「$-3x$」 これらの問題と回答がお役に立てば幸いです。
練習問題
多項式の加算の問題

多項式の減算の問題

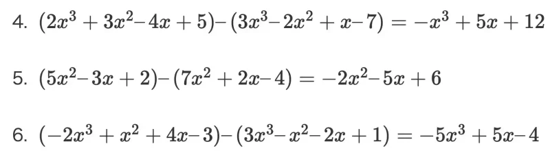
解答
以下、解答になります。
多項式の加算の解答

多項式の減算の解答

\ おすすめの参考書! /
指数法則
指数法則とは、累乗に関係する法則のことで、累乗の計算を簡単にできる便利な法則です。
指数法則は下記の5つの式で表されます。

証明など、より詳しい解説は参考記事を参照ください。
関連記事
最後に数と式で習う内容の記事一覧を紹介して終わりたいと思います。
[数1]定数項とは?求め方、定数項の意味と多項式との関係を解説
[数1]同類項とは?多項式の同類項をまとめる問題、計算方法を解説
[数1]何次式とは?2次式、3次式、4次式の違いと何次式の求め方
[数1]多項式とは?次数、項、乗法、因数分解、展開、何次式を解説
[数1]展開公式|高校数学、公式一覧、3つ、4つ、三乗を解説
[数1]単項式と多項式|単項式と多項式の違い、乗除の計算を解説


コメント