MENU
【集中力】大幅アップの勉強タイマー

[数B]等差数列の和の公式|証明と練習問題

等差数列の和の公式を解説します。

等差数列の和の公式は下記の式で表されます。

等差数列の和
等差数列の和

今回はこの公式の意味と覚え方、証明について解説していきます。

目次

等差数列の和の公式とは

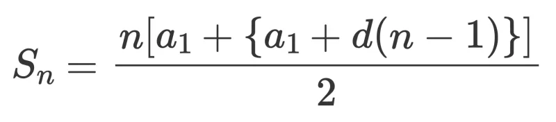
等差数列の和の公式とは、初項\(a_1\)、公差\(d\)の等差数列があったとき、その等差数列の初項から第n項\(a_n\)までの和を\(S_n\)としたときの下記の式のことである。

等差数列の和
等差数列の和

ここで、\(a_n\)を初項\(a_1\)と公差\(d\)を使って表すと、$a_n=a_1+d(n-1)$です。$a_n$の式を代入すると、等差数列の和の公式は次のように表せる。

等差数列の和2

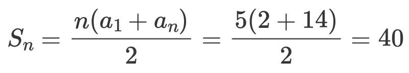
例えば、初項2、公差3の等差数列を初項から第5項まで足すとどうなるか試してみましょう。

等差数列の和の例

初項2、公差3の等差数列は「2, 5, 8, 11, 14・・・」です。

初項から第5項までの和なので、等差数列の和を\(S_n\)とすると、単純な足し算であれば次の式で解けます。

公式に当てはめると次の通りです。

当然ですが、同じ答えですね。では、この等差数列の証明をしていきましょう。

等差数列の和の公式の証明

等差数列の和の公式は下記の通り証明できます。


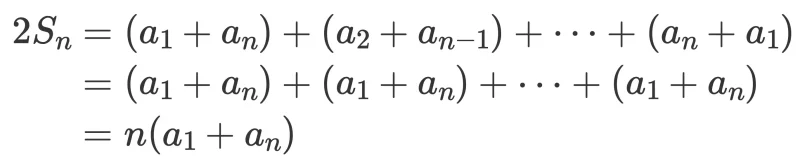
\(初項a_1, 公差d\)の等差数列の初項から第n項(\(a_n\))までの和を\(S_n\)とする。\(^{*1}\)

同様に$a_n$から$S_n$を書くと、下記のようになる。

(1)+(2)をすると、次の式が得られる。

以上より、$S_n= \frac{1}{2} n(a_1+a_n)$が成り立つ。

等差数列の和の練習問題

等差数列の和の練習問題を4問作成しましたので、解いてみてください。

練習問題

(1) 初項2、公差3の等差数列の初項から第6項までの和を答えよ。

(2) 初項12、公差3である等差数列の初項から第5項までの和を求めよ。

(3) 初項が-4、公差が6である等差数列の初項から第8項までの和を求めよ。

(4) 初項が15、公差が-2である等差数列が第10項まであるとき、その和を求めよ。

答え

(1) 57
(2) 90
(3) 136
(4) 60

解説

(1)の解説

等差数列は初項と第n項のみで決まります。
この問題は初項から第6項までの和なので、初項と第6項を求めましょう。

初項は2です。
第6項の$a_6$は下記の式から求められます。

等差数列の和の公式より、下記の通り計算できます。

(2)の解説

$a_n=a_1+d(n-1)$であり、$a_1=12$, $d=3$, $n=5$である。よって下記のように、等差数列の和を求めることができる。

(3)の解説

$a_1=-4$, $d=6$, $n=8$である。

(4)の解説

$a_1=-4$, $d=6$, $n=8$である。

\ おすすめの参考書! /

よくある質問|等差数列の和の公式

よくある質問
よくある質問
Q
n個の項を持つ等差数列の和を求める公式は何ですか?
A

n 項の等差数列の和を求める公式は以下の通りです。S_n = (n/2) * (2a + (n-1)d), ここで、aは初項、dは公差、nは項の数である。

等差数列の和の公式|まとめ

等差数列の和の公式について解説してきました。

等差数列の和の公式とその意味、そして証明です。等差数列の一般項や、等差数列はそもそも何かについては下記の記事が参考になります。

コメント

コメントする

目次